Wenderson Rodrigues F. da Silva - Viçosa, 23 de julho de 2019.
Analysis of internal pressure in the bathroom during the shower.
Introdução:
Quando
tomamos banho utilizando um chuveiro elétrico há a formação de uma grande
quantidade de vapor de água no momento do aquecimento dentro do chuveiro,
quando a água entra em contato com a resistência aquecida. Esse vapor deve-se
formar aos arredores da resistência, local onde a temperatura da água pode
chegar rapidamente a 100ºC, temperatura em que a água entra em ebulição no
nível do mar a 1 atm de pressão.
![]() |
| Figura (1) - Vapor d'água condensado no box do banheiro. |
Como
esse vapor fica contido dentro de um recipiente (o banheiro), foi feito a
hipótese que, decorrido um certo tempo de funcionamento do equipamento, deve
ser gerado uma quantidade de vapor tal que a pressão interna no banheiro viria
a aumentar, juntamente com a temperatura, o que contribuiria ainda mais para o
aumento da pressão.
Um
modelo simplificado para descrever a pressão de um gás é o do gás ideal,
expresso como:
$$ PV=nRT\qquad(1)$$
sendo $P$ a pressão, $V$ o volume do recipiente que contém o gás, $n$ o número de mols de moléculas dentro do recipiente, $R$ a constante real dos gases e $T$ a temperatura do gás.
Todavia
o modelo funciona melhor quando se trabalha com ar seco (gases que compõem o
ar), e o ar dentro do banheiro não está seco , pois há vapor d’água, como já
dito. (ROGERS,
1976, p. 15)
mostra que, na face de vapor, a água na atmosfera se comporta com boa
aproximação como um gás ideal.
Contudo (VIANELLO, 2012, p. 49) mostra
que a equação de estado para o ar úmido contendo vapor d’água é dado por:
$$ e=\rho_{v}R_{v}T \qquad (2) $$
onde $ρ_{v}=\frac{M_{vapor}}{V}$ é a massa específica e $R_{v}$ é a constante específica do vapor d’água, sendo $R_{v}=461,50 Jkg^{-1} K^{-1}$.
Para o experimento, o modelo no gás ideal (equação 1), $V$ e $R$ serão constantes e $P$ variaria com $n$ e $T$, sendo $n$ relacionado com o número de moléculas de vapor d’água gerado no chuveiro. Adotando o segundo modelo (equação 2), $V$ e $R_{v}$ também serão constantes e $P$ variaria com $M_{vapor}$ e $T$.
Partindo
da premissa de que o número de moléculas de vapor de água iria aumentar dentro do banheiro à medida que
o tempo passasse, foi feito o teste da hipótese na qual a pressão interna no
banheiro deveria aumentar.
Materiais
e Métodos:
Com
um aparelho celular (Galaxy S4) equipado com o manômetro interno (hardware da
fabricante BOCH), com termômetro (do fabricante Sesirion) e higrômetro (do
fabricante Sesirion), foi verificado tal hipótese, com o banheiro totalmente
fechado, num banho de aproximadamente doze minutos. O aparelho foi ligado no início
do banho e desligado logo no fim. Segue abaixo o gráfico gerado com os dados
obtidos no experimento:
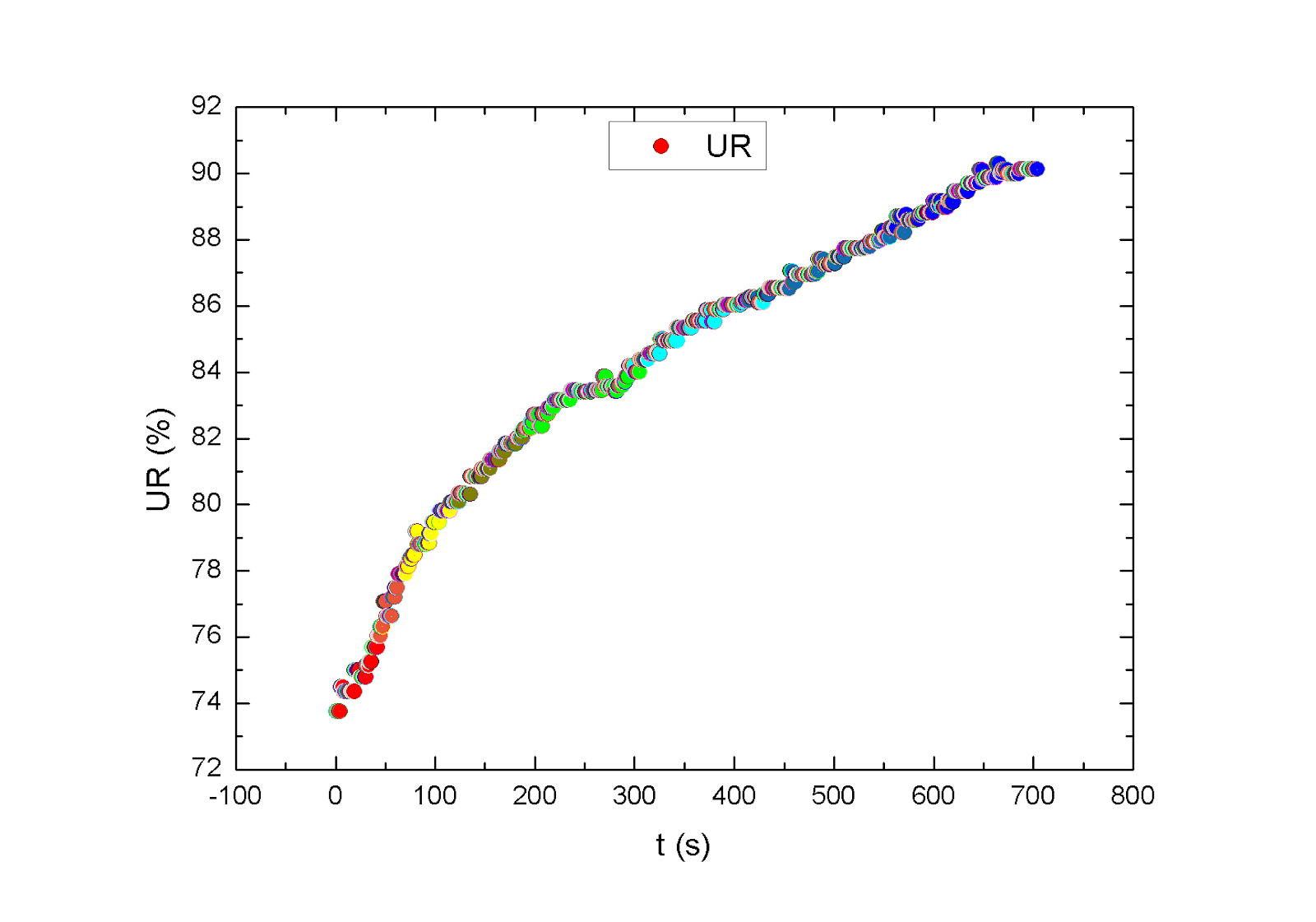
Resultados
e Discussão:
Com base na coleta de dados feita
pelo aparelho celular, pode-se montar os gráficos que se seguem.
![]() |
Gráfico
1 - Medida da
pressão interna durante um banho em função do tempo. A reta que corta os pontos
é o resultado de uma regressão linear.
|




